雍正版《连平州志》是一部断代史,其历史记载停留在1730年,此后百余年的连平历史散见于《惠州府志》。民间各姓的族谱,在一定程度上弥补了官方正史的空白。比如连平石龙刘氏唯一的举人刘腾鹗,州志未记,府志只有5个字。

▲光绪版《惠州府志·选举表上》记载举人刘腾鹗
1)乾隆丁卯科中举
据1750年版《连平州石龙刘氏重修族谱》(坤谱)记载,刘腾鹗(生于1716年),“字翔九,号健斋。性浑质敏,率真处世。文尚峭折古奥,学览经书子史。十岁失怙,幸祖涧松公裁成,于乾隆丁巳年(1737年)府试第一,游泮以后屡试,出人头地。而青鸟、星平、七政诸书,能以知易者而旁通之。于赤文公之道传而不坠,以故习有风水,即孚诚公一房无祀之坟,皆其葬祀焉。乾隆丁卯(1747年)科乡试,中式第九名举人。拣选知县。”

▲1750年石龙刘氏族谱记载刘腾鹗,图源:夜空刘景
刘腾鹗是连平石龙村沙湖屋人,是石龙刘氏开基始祖刘福保的15世孙,其世系源流为:【福保-广德-祖昌-仲承-秉澄(5世)-旻端-彦聪-观尧-必偲-彬旺(10世)-春芳-沛昌-季发-曰宁-腾鹗(15世)-仁寿】。

▲连平石龙沙湖屋赤文刘公祠
刘腾鹗十岁丧父,由祖父抚养成人。腾鹗公的祖父刘季发(1675-1740年,字涧松),虽未能考取功名,但在当地是非常有名的私塾教书先生,族谱记载他“敏慎自矢,文思沉郁,州府二试屡见冠军。青云未遇,壮志犹殷。设教数十年,凡乡族中受业成名者多,而赤公一脉子孙成材显达者,莫非公之衣钵所传。而地理天文诸书,与夫居家饶裕、处世温和,犹余事也……”遗憾的是,涧松公未能看到刘腾鹗中举的那一天。

▲赤文公祠前刘腾鹗中举旗杆石,图源:夜空刘景
在省城广东贡院参加乡试,中举者第一名称解元,第二名称为亚元,第三、四、五名称为经魁,第六名称为亚魁。八月中举后,次年可赴京参加会试。
刘腾鹗不仅得到了祖父涧松公的真传,也受到曾祖父刘沛昌(生于1632年,字赤文)的熏陶——懂风水。腾鹗公很聪慧,凭借对《易经》的理解,对风水(青鸟)、算命(星平)、天文历法(七政)等书籍也能触类旁通,还把伯公白孚诚公(刘沛新)一脉的无祀坟茔加以修整或择佳城重葬。照牛排考古 www.ZhaoNiuPai.com/KaoGu
2)重修石龙刘氏族谱
连平石龙刘氏,祖居地在江西吉水县文江夏朗(今水南镇店背村),其鼻祖刘继统原在惠阳做官,明初时携孙刘福保(字肇庆)在石龙开基立业。石龙刘氏族谱由刘彦良创修于明朝嘉靖22年(1543年),万历8年(1580年,传至11世时)聘请江西吉水人刘一鸾重修族谱(分乾、坤两套)并请江西泰和进士陈昌积作序,清朝康熙52年(1713年)刘涧松续修石龙刘氏坤字谱(广德公派),乾隆15年(1750年)刘腾鹗再次续修坤谱(亦广德公派)并作叙。

▲石龙刘氏族谱旧序,图源:夜空刘景
石龙刘氏7世祖彦聪公常以十二则宗范训迪子孙:“力行孝悌,和睦宗族,播种农桑,勤学惟速,嫁娶当谨,祭祀宜肃,百忍无讼,高年毋辱,隆师重儒,邪教距逐,勿私宰铸,贤才必育,合务修饬,成好风俗。”为了让刘氏子孙更好地理解和践行,以整宗族、肃家政,刘腾鹗详细解释这12条家训,编撰成石龙《刘氏宗范》,载于石龙刘氏乾隆坤谱。这些家训中的绝大多数,在今天仍具有现实意义,不分姓氏。

▲石龙刘氏坤谱刘腾鹗(翔九)谱叙落款及印章
另据族谱记载,明朝时,石龙刘氏福保公祠始建于邓村,连平建州之后刘氏在连平学宫东边的蕃豆一街(红星一街)新建保公祠。刘腾鹗中举这一年,福保公派广大、广文、广德三大房子孙重修祠堂,当年石龙刘氏家族可谓双喜临门。
3)为连平上坪谢达英作传
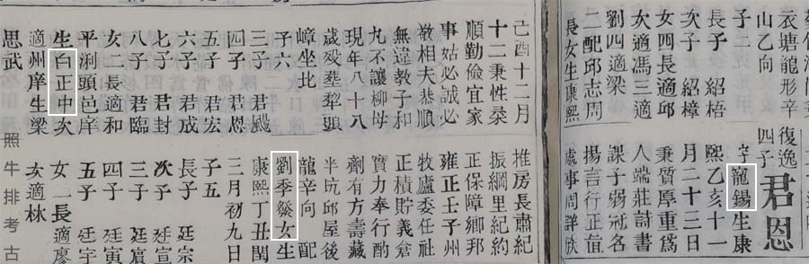
刘腾鹗祖孙三代人(13至15世),皆与连平上坪谢氏联姻,而且连续三代人都是一夫一妻。刘腾鹗的祖父刘季发配谢氏,季发公的长女(生于1697年)16岁时嫁给上坪东阳石门擎达英公第四子谢君恩(字宠锡,12世),次女嫁给谢一韩。刘腾鹗之父刘曰宁娶谢氏,刘腾鹗本人也是娶谢氏为妻。

▲《连平上坪谢氏五修族谱》记载谢君恩(宠锡)
刘腾鹗祖父和父亲都是教书的,桃李满天下,家境不错。谢复逸(1648-1720年,号达英)一家也是敬贤礼士、好善乐施的富裕之家,刘腾鹗的姑父谢宠锡后来还当过房长。刘、谢两家可谓是门当户对。
1747年,腾鹗公中举。1753年,刘腾鹗来到上坪赤岗达英公祠,瞻仰达英公画像,根据姑父提供的资料,结合祖父和乡邻的评价,为已去世多年的达英公作传。于是,上坪谢氏的族谱中多了一篇近千字的《皇清待赠处士达翁谢太公传赞》,文中谓达英公“洞悉人情世态,深知地理天文。身虽逸于泉石,德既达诸朝野。事亲无违,克承基业而大创以垂后;课子义方,俾习诗礼而丕振以光前……大祠捐金重建……至于神庙寺观,不惜重金修建,各捐田亩祀神膳僧……癸巳大饥,翁捐粟米数十石,倡议周济……”

▲姻眷世侄刘腾鹗为连平上坪谢达英作传
4)流星陨落
清初规定,举人参加会试三科不中者,可经吏部铨选为知县(即“拣选知县”)。乾隆时,因候补人数远超实缺,很多拣选者长期滞留,最终未获实职。关于刘腾鹗的史料,照牛排目前只找到以上这些,在他32岁中举、35岁修谱之后就没有记录了(1750年时他的儿子8岁),石龙刘氏坤谱在腾鹗公续修之后的百年以上未能再修。
上坪拔贡谢天衢、谢永贞,陂头恩贡知县谢命龙,连平本土最早的举人何多艺,进士何深、何廷楠父子,石龙举人刘腾鹗,下坪举人丘庄,连平颜氏举人知府颜樾,高莞武进士参将刘凤喈,大湖寨翰林曾冠英……连平历史上的很多知名人物,天赋异禀,卓然特立,就像夜空中的璀璨星辰,在某个阶段照亮凡夫俗子,又如流星般陨落,香火未继或宦游不归。
往期回顾(戳下方标题):
州志-你不知道的雍正《连平州志》 | 揭秘连平起源之迷 | 秀才、举人、贡士、进士的区别
牟爷是如何在连平白手起家的 | 《连平州志》卷之一:星野 | 《连平州志》卷之一:舆图
《连平州志》卷之一:八景图 | 连平新八景 | 建置1 | 建置2 | 建置3 | 建置4 | 建置5
《连平州志》卷之二:连平疆域、山川 | 连平风俗
《连平州志》卷之三:连平城池 | 连平公署 | CCTV央视《中国影像方志》连平篇
《连平州志》卷之四:连平学宫先贤先儒 | 祭礼祭品 | 冒籍 | 乡饮酒礼
《连平州志》卷之五:祀典-祭先农坛 | 祭关帝庙 | 贡赋1 | 贡赋2 | 贡赋3 | 贡赋4 | 贡赋5
《连平州志》卷之六:兵防1 | 兵防2 | 津梁 | 秩官 | 选举 | 貤封和乡饮宾
《连平州志》卷之七:人物,宦迹.武绩.人瑞.德量.义略 | 孝行.方正.耆硕.善行.耆寿 | 列女.贤母.寿母
《连平州志》卷之八:物产 | 古迹·寺观.坟墓 | 祥异.饥荒.旱涝.兵事
《连平州志》卷之九:艺文1,内管岩石壁记/征浰头祭文/蒙泉记 | 艺文2,鼎建州治碑记
《连平州志》卷之九:艺文3,修岩坡路碑记/重修三多桥记/捐修葫芦峒山路序
《连平州志》卷之九:艺文4,文山二女墓记/宋故丞相文信公二女墓铭/祭文烈女双正墓文
《连平州志》卷之九:艺文5,重修州城记/连平州明伦堂记/重建城隍庙记/祝圣寺记
《连平州志》卷之九:艺文6,牟公祠堂记/重修牟公祠序/牟公祠聚元会序
《连平州志》卷之九:艺文7,连平形胜记/圣迹岩记 | 艺文8,建立义学碑记
《连平州志》卷之九:艺文9,待赠若周何公传(何多才) | 艺文10,黄玫石先生传(黄志正)
《连平州志》卷之九:艺文11,曾得忠、王问臣合传 | 艺文12,何母颜孺人传
《连平州志》卷之九:艺文13,刘正烈传、墓、亭 | 艺文14,叶烈妇传
《连平州志》卷之十:诗1,牟应受的诗 | 诗2,何深的诗 | 诗3,颜希圣的诗 | 诗4,连平杂诗
族谱-上坪谢氏历次修谱时间 | 上坪谢氏明清老族谱 | 复渊公迁居上坪的时间
连平上坪谢氏的字辈 | 连平上坪谢氏家约(家训) | 仲辉公的兄弟 | 俊玮公派贤达
上坪谢氏七修谱错漏存疑 | 朝位公文武世家 | 从小水外迁的朝佳公后裔 | 岭下懋年公记
祠堂-上坪谢氏大宗祠历次修缮时间 | 上坪谢氏复渊公祠八修记 | 福珍、福颙公祠及洞主庙 | 上坪四角楼
仲富、仲贵公后裔祠堂分布 | 辉公后裔祠堂分布 | 南逸(俊玮)公祠重修记 | 朝应公祠始建年代初探
俊芳公后裔祠堂分布 | 俊璇公后裔祠堂分布 | 瑄公后裔祠堂分布 | 琪公后裔祠堂分布
连平颜氏府第分布 | 消失的连平学宫 | 消失的福音堂(连平中学前身)
连平谢氏八房祠(芝兰书室) | 连平上坪黄坑屋谢氏诚文公祠 | 2023年连平上坪谢氏祠堂进伙回顾
乡土-连平州城大小及攻城纪事 | 连平历年水灾 | 连平妇女(1946年 | 1928年) | 上坪三洞村办学记
连平革命斗争史 | 神枪手谢泮飘 | 黄埔县长谢静生 | 扬州起义何健生 | 颜伯焘厦门抗英及革职返乡
连平颜氏谁的官衔最高 | 忠信榕树下何氏 | 上坪大事记 | 上坪古代名人录 | 清代武举谢辉扬
下坪文魁丘庄 | 连平考上清华北大的学子(中国高考状元现状) | 连平中学史 | 忠信中学史
蒙泉公剿匪往事 | 大湖寨的翰林曾冠英 | 上坪民意“镇长”谢朝佩 | 颜世清(书画收藏)、颜宝航
连平人民医院首任院长翁润苍 | 缅怀上坪古坑人谢开育 | 连平上坪祠堂文化简述 | 连平客家山歌
连平上坪客家锣鼓(锣鼓乐谱) | 连平过年(春节)风俗 | 十二月节索民谣 | 上坪老八盘 | 上坪粽子
连平上坪西禅寺 | 上坪谢氏十三景 | 下坪八景 | 上坪水口桥的来历 | 上坪街老照片 | 鹰嘴蜜桃史
连平电影院放映史 | 连平丧葬习俗 | 辉公墓(21年 | 24年) | 文龙公历代祖墓考 | 上正继诚公考略
朝征公墓 | 贵东市兴衰 | 新屋厦枫杨古树 | 颜宣甫“重游泮水”
颜检墓的现状和修造故事 | 明代顺阳王朱有烜墓出土记 | 安徽宏村游记 | 后收藏时代 | 上莞圣旨牌匾
本文出自【照牛排考古】博客,文章不定期更新,转载请以链接的形式注明本文地址
本文地址:http://zhaoniupai.com/kaogu/archives/242.html